Remember you can access the radical symbol under the symbol 
Estimating Radical Expressions |
Using the radical symbols found under 
you can quickly enter radical values for numerical approximations.
The digital display shown at the right is FLOAT, giving a decimal value to 12 places. |
 |
Evaluating Radical Expressions |
Using x = 2, y = -2, and z = 1.4, find the approximate value of:
Store the values for x, y, and z.
The "sto" command is above  .
 |
Showing in AUTO calculation mode.
|
|
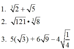
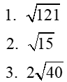
Estimate the value of:
These are estimates, not simplifications. |
 |
|
The calculator can, however, "help" you to determine if the square root CAN be simplified,
and how to develop the simplification.
Let's take a look at what can be done.
CAS version: The CAS version
of the calculator will be
capable
of
giving the simplified radical in radical form. TBA
|
Use Calculator to CHECK your work
If you simplified your radical by hand, let's check your answer on the calculator. Type the question and the answer as being equal and see if the calculator tells you the result is TRUE (meaning your simplification is correct)!
BUT ...
Notice the 4th entry WARNING! The entry is TRUE, but the calculator is saying FALSE. The calculator will display a pop-up that says "Result obtained using approximate arithmetic."
So, if you are using this "equation" approach for checking, and you
get a "false" result, look further. Try typing each entry separately and check assigned decimal values. Place the calculator setting on FLOAT to get largest possible decimal result. |

This can be problematic, so be careful.
If each side of the equation is entered separately, there appears to be no problem out to 10 decimal places.

|
 Why is this "Warring" happening? The TI-NSpire (not CAS) uses what is called " floating-point arithmetic" to compare " approximate arithmetic" results. This process can sometimes be problematic, especially when dealing with irrational numbers. Because the calculator is dealing with non-ending decimal values, there are bound to be rounding and precision limitations, and potential errors.
|
CAS version: The CAS version
of the calculator will be capable of
giving exact answers in radical form, avoiding this problem. TBA
|
The calculator will also yield numerical approximations when working with cube roots.
Under SETTINGS, set the decimal display to FLOAT to see the maximum allowance after the decimal point. Or set the allowance to a smaller specific value. The display below shows an allowance of 4 decimal places.
Getting numerical results:

|

|
The same factorization strategy can also work for simplifying cube roots.
The difference is that this time you will be looking for perfect cubes instead of perfect squares.
|